MUCH RECENT DEVELOPMENTS (1998-1999)


 
 

This is just a list of selected works, essentially from
the Journal of Applied Crystallography, and more or less classified :



 
 
 

The two last years appear especially rich in new theoretical developments, improvement of procedures involving material analysis by the Rietveld method.

But, remember that you may have to use your own judgement
about their meaning.
 
 
 
 
 



 
 
 
 
 
 
 
 
 

First of all, Rietveld refinement guidelines were formulated by the International Union of Crystallography Commission on Powder Diffraction (McCusker et al., 1999). Having in mind the advices given inside will help in succeeding in extracting structural as well as microstructural details from powder diffraction data.
 

For instance, the list of characteristic effects as can be deduced from difference plots was given. Well, this is not really new, but it is useful :



 
 
 
 
Good fit
Calculated intensity too high
Calculated intensity too low
FWHM calculated too large
FWHM calculated too small
Peak shape calculated
too symmetric
Error in calculated angular position,
2q too large
Error in calculated angular position,
2q too small
FWHM too small
+
peak asymmetry too small
FWHM too small
+
intensity too small

McCusker, L. B., Von Dreele, R. B., Cox, D. E., Louër, D. & Scardi, P. (1999). J. Appl. Cryst. 32, 36-50.
 
 
 
 
 
 
 



 
 
 
 
 
 
 

A book has been published (Microstructure Analysis by Diffraction, IUCr/Oxford University Press, edited by Bunge, Fiala & Snyder, 1999), built mainly from contributions to the Size-Strain'95 congress in Slovaquia. In this book, a few chapters are devoted to microstructure analysis by using the Rietveld method
(by authors like Scardi, Le Bail...).


 

However, the microstructure landscape, as seen from the Rietveld method, has already changed considerably.
 
 
 
 
 
 
 
 
 
 
 



 
 
 
 
 

Concerning the instrumental profile contribution, recent advance concerns a more effective correction of peak asymmetry due to axial divergence, since that a paper by Finger, Cox & Jephcoat (1994) proved that this effect can be treated with parameters related to the diffractometer optic.
A series of strongly asymmetry affected powder patterns, including some taken on the world's highest resolution diffractometer (at BM16, ESRF), was studied and produced excellent fits.
 

Aranda, M. A. G., Losilla, E. R., Cabeza, A. & Bruque, S. (1998).
J. Appl. Cryst. 31, 16-21.
 
 
 
 
 
 



 
 
 
 
 
 
 
 

Equations characterizing axial divergence in a conventional X-ray powder diffractometer were established by Cheary and Coelho and incorporated into a fundamental-parameters convolution synthesis and fitting program for analysing powder diffraction line profiles. Rietveld refinement with asymmetry parameters having physical meaning is now possible.

Cheary, R. W. & Coelho, A. A. (1988a). J. Appl. Cryst. 31, 851-861.
Cheary, R. W. & Coelho, A. A. (1988b). J. Appl. Cryst. 31, 862-868.
 
 



 
 
 
 
 
 
 
 
 
 

A new peak shape appeared : a Gaussian-Hermite polynomial function for X-ray diffraction profile fitting which can be employed in the cases where there are peak asymmetries.

Sánchez-Bajo, F. & Cumbrera, F. L. (1999). J. Appl. Cryst. 32, 730-735.
 
 
 
 
 
 
 
 
 
 

After a comparison of different geometries with special attention to the usage of the Cu Ka doublet, Oetzel and Heger recommend the use of monochromated Ka radiation.
Oetzel, M. & Heger, G. (1999). J. Appl. Cryst. 32, 799-807.
 
 
 
 
 
 
 
 



 
 
 
 
 
 
 

Many sophisticated methods for quantitative analysis are applied within the Rietveld analysis. New approach permits solution of the problem due to the presence of an amorphous phase when its chemical composition is known.

Y2O3 on amorphous silica with weight 10/90%/

Riello, P., Canton, P. & Fagherazzi, G. (1998). J. Appl. Cryst. 31, 78-82.
 
 
 
 
 
 
 
 
 
 
 
 



 
 
 
 
 
 

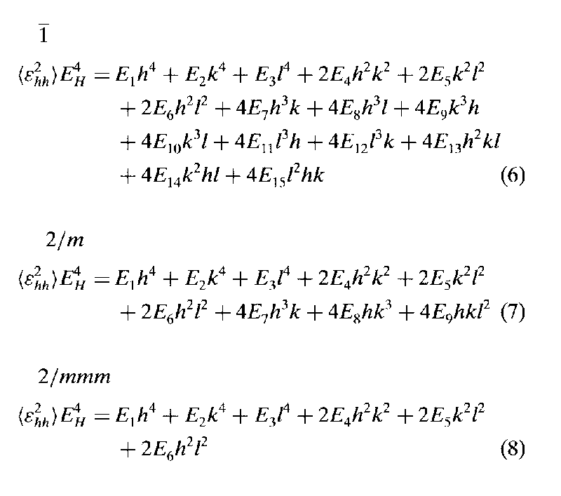
More general models than simple ellipsoids were presented for the (hkl) dependence of diffraction-line broadening caused by strain and size for all Laue groups by Popa (1998). Indeed, it was proven that a quadratic form in h, k, l is too restrictive and inadequate for representing either a mean crystallite or the strain dispersion.  In principle, concerning size effect, the Popa models for all Laue groups hold even if there is a contribution to the peak broadening from the stacking fault. The paper suggested that it would be possible to separate the two size effects by using a refinable faulting probability, however, equations were not provided for any symmetry. This would be quite interesting for obtaining meaningful results, and not only a phenomenological approach.

The (h,k,l)-dependent strain models for some Laue groups :

Popa, N. C. (1998). J. Appl. Cryst. 31, 176-180.
 
 
 
 
 
 
 



 
 
 
 
 
 
 
 

Indeed, Stephens (1999) pointed out that, if optimal line-shape fits can be achieved in presence of anisotropic broadening, by using a model (spherical harmonic expansion) of the multidimensional distribution of lattice metrics, then microstrain parameter values cannot be predicted. The Stephens formulation of anisotropic strain broadening has been adapted into the widely-used GSAS Rietveld method package (Larson & Von Dreele, 1994). Stephens equations are more restrictive than Popa's ones, as justified by exact overlapping of reflections for some Laue class which would not allow to extract distinct parameters from powder data.

The phenomenological model of anisotropic strain broadening, proposed by Stephens, considers the distribution of lattice metric parameters within a sample. Each crystallite is regarded as having its own lattice parameters, with a multi-dimensional distribution throughout the powder sample. It is a generalized approach deriving from previous similar but more restrictive descriptions, already included in FULLPROF for instance. In the case of this sodium para-hydroxy benzoate, the reliability factor decreased from fifteen to eight percent.
 
 


Stephens, P. W. (1999). J. Appl. Cryst. 32, 281-289.
 
 
 
 
 
 
 



 
 
 
 
 
 
 
 
 

More details were published later, with the ab initio structure solution of sodium para-hydroxybenzoate : estimation of the strain distribution. The meaning of that curious shape is not well understood... The question should be reserved to the Sphinx ?

Dinnebier, R. E., Von Dreele, R., Stephens, P. W., Jelonek, S. & Sieler, J. (1999). J. Appl. Cryst. 32, 761-769.